OK, Now I Feel Worse Again…

Buy their art: http://fineartamerica.com/art/paintings/autism/all
The Incidence of Autism in Olmsted County, Minnesota, 1976-1997 Results From a Population-Based Study
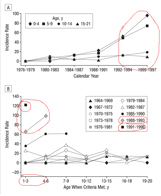
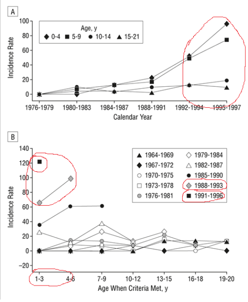
Results The age-adjusted incidence of research-identified autism was 5.5 (95% confidence interval, 1.4-9.5) per 100 000 chidren from 1980 to 1983 and 44.9 (95% confidence interval, 32.9-56.9) from 1995 to 1997 (8.2-fold increase). This increase was confined to children younger than 10 years who were born after 1987.

Age-specific (A) and birth cohort–specific (B) incidence of research-identified autism among residents of Olmsted County, Minnesota, between 1976 and 1997. B, There is a separate line for each birth cohort. The birth cohorts overlap, since intervals were used for age and the year a child met the criteria. For example, a child who met the criteria at age 1 to 3 years from 1986 to 1988 could have been born between 1982 and 1987, whereas a child who met the criteria at age 1 to 3 years from 1989 to 1991 could have been born between 1985 and 1990.
And below is when the three Doppler radars went online in the surrounding area:
NEXRAD KMPX – MINNEAPOLIS, MN
Metadata / Coverage Map
Period of Record (Testing/startup done prior to recording date:)
Level-II: 05/30/1995 to 11/02/2013
Level-III: 08/07/1995 to 10/31/2013
NEXRAD KARX – LA CROSSE, WI
Metadata / Coverage Map
Period of Record:
Level-II: 07/08/1996 to 11/02/2013
Level-III: 09/04/1996 to 10/31/2013
TDWR Radar Tower(1)
http://citeseerx.ist.psu.edu/viewdoc/download?doi=10.1.1.186.2396&rep=rep1&type=pdf
The Terminal Doppler Weather Radar (TDWR) program was initiated in the mid-1980s to develop a reliable automated Doppler-radar-based system for detecting weather hazards in the airport terminal area and for providing warnings that will help pilots avoid these hazards when landing and departing. This article describes refinements made to the TDWRsystem since 1988, based on subsequent Lincoln Laboratory testing in Kansas City, Missouri, and Orlando, Florida. During that time, Lincoln Laboratory developed new capabilities for the system such as the integration ofwarnings from TDWR and the Low Level Wind Shear Alert System (LLWAS). Extensive testing with the Lincoln Laboratory TDWR testbed system has reconfirmed the safety
benefits of TDWR…?? I could not find any biological testing done in surroundings, I am glad now I did not go to MIT.

Status in 1994, they were also sending a portable radar unit around to test each location, irradiating the surroundings in 1993-1994 timeframe
Attenuation problems
The most serious drawback to using the TDWRs is the attenuation of the signal due to heavy precipitation falling near the radar. Since the TDWRs use the shorter 5 cm wavelength, which is closer to the size of a raindrop than the 10 cm wavelength used by the traditional WSR-88Ds, the TDWR beam is more easily absorbed and scattered away [THROUGH YOUR HEAD?]by precipitation. This attenuation means that the radar cannot “see” very far through heavy rain.

I wonder if the Autism rate is higher where those radar coverages overlap? Sort of like the ghostbusters crossing the streams…
The date of those three Doppler towers going online CORRESPONDS with the spike in Autism in the youngest children in 1995 and 1996 in Minnesota. I consider that actionable intelligence. Since it is late, I think I will at least neutralize one of the targets with the App my 11 year old slightly quirky Aspergery/ASDish gifted son gave me…
Godspeed to you all.

